题库搜索 · 找答案神器
搜题
已收录82365道考试试题
最后更新:2025-11-21易错题
- 1 11,24,26,________,19。
- 2 成语是中国文化的重要组成部分,每个成语背后都有其独特的文化内涵和历史背景。我国许多成语言简洁、意味售永,蕴含着深刻的哲学道理。下列能体现哲学史上“两个对子”的成语是( )
- 3 由于英国无力以现款购买军火,1940年底丘吉尔紧急致函美国总统罗斯福求援,罗斯福提出以( )方式援英。
- 4 大气中悬浮着大量的()和()微粒,称为杂质。
-
5
毛泽东提出的十大军事原则的核心是( )
- 6 --- Where is my food, Tom? --- Sorry, I _____just ______it _______ .
- 7 军事思想是军事科学领域其他学科的________
- 8 氢既可以通过()产生热能,又可以作为能源材料用于()。
- 9 下列说法正确的是()
-
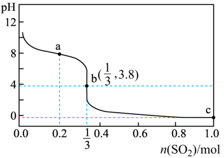
10
常温下,向
的NaClO溶液中缓慢通入SO2气体,使其充分吸收,溶液pH与通入SO2物质的量关系如图所示(忽略溶液体积的变化和NaClO、HClO的分解)。下列说法错误的是()
- 11 2025年4月8日,________极地科考破冰船返回上海,标志着中国第41次南极考察主要任务顺利完成。
- 12 我国有漫长的大陆海岸线,全长()多公里。
- 13 分队在行军休息时遇见首长,应该()。
- 14 大气的最上层统称为(),即()km高度以上的大气层。
- 15 1931年起,日本对中国发动了侵略战争,发生了很多战役,下列历史事件依照时间先后顺序排列正确的是( )。 ①攻陷东三省 ②南京大屠杀 ③柳条湖事变 ④重庆大轰炸
- 16 ( )年12月31日,成立中国人民解放军战略支援部队,并授予军旗。
