题库搜索 · 找答案神器
搜题
已收录82365道考试试题
最后更新:2025-11-22易错题
-
1
用水平力
把一个物体压着靠在粗糙的坚直墙面上保持静止.当
逐渐增大时,物体所受的静摩擦力
的大小______。
- 2 下列选项中没有错别字的一项是( )
- 3 领导指挥体制调整后,武警部队根本职能属性没有发生变化,( )。
- 4 (2009-湖南)1,2,4,(),11,16
- 5 (2008-河南)红与黑∶于连
- 6 下列词语的字形,完全正确的一项是( )
- 7 下列首次大规模使用精确制导武器的战争是( )。
- 8 (2008-河南)路漫漫其修远兮,吾将上下而求索∶《离骚》
- 9 下列关于马岛战争具体特征说法错误的是( )。
-
10
下列选项中,不能由左边的立方体展开而成的是________。
- 11 The teacher ______ Nanjing teaches us Maths.
- 12 (2008-河南)氧气∶臭氧
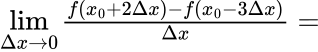
-
13
设
,则
______。
- 14 A small river goes__________ my village. There are many fish in it.
- 15 (2022-浙江)在戏剧史上,从三棱景柱的出现到立体布景的使用,从煤气灯照明到电脑灯的布控,都曾使戏剧演出的总体面貌产生巨大变化。剧场科技、智能舞台、多媒体、声学、光学、电学技术的广泛运用,丰富了当代舞台的表现手段和艺术面貌,并且为人们带来全新的审美体验。有文化学者据此推断,戏剧艺术对现代科技手段会越来越倚重,演员不主动适应被各种科技元素构筑起来的表演空间,就会被时代所淘汰。以下哪项如果为真,最能削弱该学者的推断?
- 16 习主席在中国共产党第二十次全国代表大会的报告上提到,__________是实现中华民族伟大复兴的必由之路。
