题库搜索 · 找答案神器
搜题
已收录82365道考试试题
最后更新:2025-11-23易错题
- 1 军级、正师级单位的首长和机关对控告和申诉的处理期限(自收到之日起),不得超过()日的。
- 2 人体缺水20%时,会出现()症状?
- 3 3月12日是第47个植树节。今年全民义务植树宣传主题是:履行植树义务、共建美丽中国。下列关于美丽中国建设的成就说法错误的是________。
- 4 真理在一定条件下可以转化为谬误这是()。
-
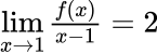
5
已知函数
连续且
,则函数在
处的法线方程为______。
-
6
毛泽东十大军事原则的核心内容是()。
- 7 (2015-吉林省)3,4,5,6,8,()
- 8 与我国既是海上邻国,又是陆地邻国的国家是)和越南。
-
9
观察下表,其内容应摘自
- 10 ________, mother will wait for him to have dinner together.
- 11 We each ________ strong points and each of us on the other hand ________ weak points.
- 12 下列场合中通常不敬礼的是()
- 13 1940年5月10日凌晨,德军调集136师,其中包括10个坦克师和7个摩托化师,2580辆坦克,3824架飞机,向西欧国家发动进攻。有关德国向西欧国家发动进攻的表述错误的是( )。
-
14
(2009-福建)将下图沿线条折成一个正多面体。这个正多面体是:
- 15 山东是中国近代民主革命的重要阵地。下列革命活动首先爆发于山东的是______
- 16 (2021-宁夏)2020年老张的年龄是小王年龄的4倍,2021年老李的年龄是小王年龄的3倍,已知老张比老李大12岁,问哪一年三人的年龄之和第一次超过140岁?
